إرشادات مقترحات البحث معلومات خط الزمن الفهارس الخرائط الصور الوثائق الأقسام

مقاتل من الصحراء
Home Page / الأقســام / موضوعات علمية / الكهرباء، واللاسلكي، والإلكترونيات




منظر من الجو لطبق أريسيبو
أجهزة الرؤية والتنشين الحراري
مستشعر أرضي قصير المدى
مستشعر بعيد المدى
مستقبل لنظام تحديد المواقع
استخدام الحاسب للتوقيع
جهاز تقدير المسافة اليدوي
دبابة بالأشعة
صورة حاسب ميداني
طائرة موجهة من دون طيار
صاروخ موجهة بالأشعة دون الحمراء

. التيار والجهد في ملف حث
إمالة الهوائي لخفض الصاري
ممانعة دائرة الرنين
نهاية قمعية هرمية
هوائي متحد زاوية الطور
هوائي مركب
هوائي مزود بعاكس
هوائي الإشعال العلوي
هوائي ثنائي القطبية
هوائي حرف L
هوائي حرف T
هوائي شكل حرف V
موجة التعديل
منحنى التيار للوصلة الثنائية
منحنى التكبير
منطقة الصمت
ملف الإطالة
مثال لدائرة تعديل سعوي
نبضات دائرة المفاضل
مجالات الموجات الكهرومغنطيسية
مجزئ الجهد
إطالة الهوائي بإضافة أفرع
إطالة الهوائي بإضافة فرع
إطالة الهوائي بإضافة فرعين
مسار الموجات السماوية
أساس الإرسال والاستقبال اللاسلكي
مستنزف التيار
مذبذب مكبر ذو تغذية
مقوم موجة ذو مكثف
مقوم الموجة الكاملة
مقاومة التوازي لقياس التيار
النموذج الإشعاعي لهوائي
الهوائي متخالف زاوية الطور
الهوائي المائل
الهوائي ثنائي القطبية المزدوج
الهوائي ذو الشكل المعين
الموجات الكروية
الموجة التوافقية
الموجة الحاملة بعد التعديل
الموجة الحاملة قبل التعديل
الموجة العالية ترددياً
المنحنى الترددي للمكبر
الوصلة الثنائية
المذبذب أحادي الاستقرار
المذبذب ثنائي الاستقرار
المذبذب عديم الاستقرار
المقاومة لقياس التيار
المقياس ذو الملف المتحرك
التمثيل البياني للجهد
التوصيل الأمامي
التوصيل الأمامي للوصلة الثنائية
التوصيل المختلط
التوصيل الخلفي للوصلة الثانية
التوصيل على التوالي
التوصيل على التوازي
التيار والجهد في مكثف
التيار والجهد في مقاومة
التيار وفرق الجهد
التيار المتردد لدورة كاملة
التيار المرشح
التيار الكهربي المستحث
التيار بعد التقويم
الترددات الجانبية
التعديل النبضي
التعديل النبضي الموضعي
التغذية الرجعية
الجهد الحاجز
الجهد الحاجز في التوصيل الخلفي
الحيزات الجانبية
الرابطة التساهمية لذرة الجرمانيوم
الرسم الطوري
السلك المحوري
السلك المجدول
السلك المفرد
العمود الجاف
العلاقة بين الجهد والمحور
الفيض المغناطيسي لملف لولبي
الفيض المغناطيسي لحلقة
الفيض المغناطيسي لسلك
استنتاج علاقة الممانعة والتردد
بلورة القاعدة
تأثير الانعكاس على الهوائي
تأثير انحناء سطح الأرض
تأثير سطح الأرض
تأثر الاتصال بارتفاع الهوائيات
توصيل أربعة مصابيح
توصيل مصباح بسلك
تنفيذ الدائرة المتكاملة بالترانزيستور
تجميع الشعاع الإلكتروني
تجربة نقطة الزيت لميلكان
تجربة قياس الشحنة النوعية
تدريج مقياس المقاومة
ترسيب ترانزيستور
تطبيق نورتون الخطوة الثانية
تطبيق ميلمان الخطوة الأولى
تطبيق ميلمان الخطوة الثانية
تطبيق سفنن المرحلة الأخيرة
تطبيق سفنن الخطوة الأولى
تطبيق سفنن الخطوة الثانية
تغذية الترانزيستور N P N
جهد المسح
جهد المصدر والجهد المستحث
خلية فولتايك
دائرة لتقويم التيار المتردد
دائرة مذبذب
دائرة مذبذب عديم الاستقرار
دائرة المكامل
دائرة القطع
دائرة توضح قانون أوم
دائرة تحليل الدوائر الكهربية
دائرة تكبير باستخدام ترانزيستور
خرج مقوم الموجة الكاملة
حركة الإلكترون
خطوط الفيض المغناطيسي
خطوط عمل المجال المغناطيسي
رمز الوصلة الثنائية
رمز الترانزيستور N P N
رمز الترانزيستور P N P
رسم موجه جيبية
صمام أشعة المهبط
صورة الكهربية لسلك أفقي
صورة الكهربية لسلك رأسي
شبه موصل موجب
شبه موصل سالب
طبقات الأيونوسفير
زيادة مسافة الاتصال
شدة التيار وفرق الجهد
طريقة تنفيذ دائرة متكاملة
كود ترقيم المقاومات
كسر الرابطة التساهمية
علاقة قانون أوم
عمق التعديل السعوي
ظاهرة الاضمحلال
عاكس قطع مكافئ
فارق زاوية الطور
ذرة النحاس
ذرة الهيدروجين
ذرة الكربون
قواعد جبر المتجهات
قانون نورتون الخطوة الأولى
قياس مستويات التيار
قياس مستويات جهد مختلفة
قياس المقاومة
قياس فرق الجهد
قطار النبضات




الفصل الثاني

ثالثاً: دوائر التيار المتردد

يستخدم في أجهزة اللاسلكي، كل من التيار المستمر Direct Current، والتيار المتردد Alternating current الذي تتغير قيمته واتجاهه مع تغير الزمن؛ هذا التغير، يمكن أن يتم بصور مختلفة، وطبقاً لقوانين مختلفة، أكثرها شيوعاً هي صورة التيار المتردد الذي يتغير طبقاً لدالة الجيب المثلثية، ويطلق عليها الموجة الجيبية Sine Wave، أو الموجة التوافقية Harmonic Wave، وتكون للتيار المتغير الصياغة الرياضية:

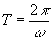
حيث I تعبر عن القيمة اللحظية للتيار الكهربي instantaneous current، وImax تعبر عن القيمة العظمي للتيار Maximum value of current، وω التردد الزاوي للدالة الجيبية angular frequency of sine function، و t، الزمن المتغير، (أُنظر شكل الموجة التوافقية)؛ ويعرف زمن الدورة الكاملة للتيار المتردد، المعرف وفق الدالة الجيبية، بأنه الزمن المنقضي قبل أن تتكرر قيمة التيار نفسه، وفي الاتجاه نفسه، ويرمز له بالرمز T، الذي تحسب قيمته من المعادلة التالية:

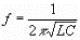
ويعرف تردد الموجة الجيبية، بأنه عدد الدورات الكاملة، التي تتم في الثانية الواحدة، ويرمز له بالرمز f الذي تحسب قيمته من المعادلة التالية:

1. إنتاج التيار المتردد

عندما يدور ملف، من سلك معزول، على شكل مستطيل، بسرعة زاوية ثابتة  ، في مجال مغناطيسي منتظم، تتولد في الملف قوة دافعة كهربية مستحدثة؛ وعندما يكون مستوى الملف عمودياً، على اتجاه الفيض المغناطيسي، فإن اتجاه حركة السلك توازي خطوط الفيض، فلا تقطعها، وتكون القوة الدافعة الكهربية المستحثة = صفراً، وشدة التيار المستحث I = صفراً؛ عندما يكون مستوى الملف موازياً للفيض المغناطيسي، فإن اتجاه حركة السلك تكون عمودية على خطوط الفيض المغناطيسي، فيقطعها، وتبلغ القوة الدافعة الكهربية المستحثة، وكذلك شدة التيار المستحث نهاية عظمى.

(أُنظر شكل التيار المتردد لدورة كاملة)، حيث تكون زاوية دوران الملف tω [6]، ممثلة على المحور الأفقي بفواصل 45 درجة، والقوة الدافعة الكهربية المستحثة، أو شدة التيار المستحث، ممثلة على المحور الرأسي، ومن الشكل البياني يتضح أن:

أ. التيار المتولد يغير اتجاهه كل نصف دورة.

ب. يمثل تغير شدة التيار منحنى جيبي.

ج. عندما يدور الملف دورة كاملة، يكون التيار قد أتم ذبذبة كاملة.

د. تزداد شدة التيار من صفر إلى نهاية عظمي، خلال الذبذبة الكاملة، ثم تتناقص إلى الصفر، خلال النصف الأول من الدورة، ثم يعكس التيار اتجاهه في الدائرة، وتزداد شدته من صفر إلى نهاية عظمى، ثم تتناقص إلى الصفر مرة أخرى، خلال النصف الثاني منها.

2. المكونات الأساسية الدوائر التيار المتردد

تحتوي دوائر التيار المتردد عادة على مقاومات أومية، وملفات، ومكثفات، ولكل من هذه المكونات تأثير على شدة التيار المتردد وجهده.

التيار وفرق الجهد المتردد، في مقاومة أومية عديمة الحث، (أُنظر شكل التيار وفرق الجهد):

عند إغلاق الدائرة، يلاحظ تغير قراءة مقياس الجهد، الفولتم ومقياس التيار الأمبير متر، ويلاحظ أن قراءتيهما، تزيدان معاً، حتى تصلا إلى النهاية العظمى في وقت واحد، ثم تنقصان معاً، لينقطع كل من التيار وفرق الجهد في اللحظة نفسها، ثم تزيدان في الاتجاه العكسي.

(أُنظر شكل التمثيل البياني للجهد)، التمثيل البياني للجهد، والتيار بالنسبة للزمن، ويقال في هذه الحالة: إن فرق الجهد المتردد، والتيار المتردد، في مقاومة عديمة الحث يكونان متفقين في الطور، أي أن لهما زاوية الطور نفسها، فإذا كان V هو فرق الجهد اللحظي بين طرفي المقاومة R، حيث V=Vmaxsint

    فإن:

3. التيار المتردد، وفرق الجهد، في ملف حث عديم المقاومة، (أنظر شكل التيار والجهد في ملف حث):

عند مرور تيار متردد، في ملف عديم المقاومة، يولد الحث الذاتي للملف قوة دافعة كهربية مستحثة عكسية في الملف، تقاوم التيار الأصلي، وتسمى هذه المقاومة "المفاعلة الحثية للملف"، ويرمز لها بالرمز XL، تمييزاً لها عن المقاومة الأومية R؛ وتقاس المفاعلة الحثية بالأوم.

عند إغلاق الدائرة، يلاحظ أن فرق الجهد V يصل إلى نهايته العظمى، عندما تكون شدة التيار I = صفراً، ثم يقل فرق الجهد تدريجياً، ليساوي صفراً، وعندئذ تصل قيمة شدة التيار إلى نهايتها العظمى؛ في هذه الحالة يقال: إن فرق الجهد المتردد، وشدة التيار المتردد، غير متحدين في الطور نفسه، بل يختلفان بزاوية مقدارها 90 درجة؛ (أُنظر شكل جهد المصدر والجهد المستحث)، يمثل المحور الرأسي، قيم كل من فرق الجهد للمصدر المتردد V، والقوة الدافعة الكهربية المستحثة في الملف V' ، وشدة التيار المتردد المار في الدائرة I؛ يتضح من الرسم البياني، أن اتجاه القوة الدافعة المستحثة، V' يكون عكس اتجاه القوة الدافعة للمصدر، V، وعندما يكون فرق الجهد V نهاية عظمى، تكون القوة الدافعة المستحثة، المتولدة بالحث الذاتي للملف V' نهاية عظمى كذلك، ولكن في الاتجاه المضاد، وتكون شدة التيار تساوى صفراً، والعكس بالعكس؛ يبلغ فرق الجهد V نهايته العظمى، عند الزاوية 90 درجة، بينما يبلغ التيار نهايته العظمى، عند الزاوية 180 درجة، ومعنى ذلك أن فرق الجهد للمصدر يتقدم شدة التيار، بزاوية قدرها 90 درجة[7].

يقال: إنه إذا وضع ملف عديم المقاومة، في دائرة تيار متردد، فإن الحث الذاتي للملف، يسبب تأخر قيم شدة التيار I، عن القيم المناظرة لفرق الجهد V، بزاوية طور مقدارها 90 درجة؛ تكون قيمة الممانعة الحثية للملف:

4. التيار المتردد، وفرق الجهد المتردد، في مكثف، (أُنظر شكل التيار والجهد في مكثف)

عند مرور التيار المتردد في مكثف، فإنه يلقى نوعاً من المقاومة، تسمى "المفاعلة السعوية للمكثف"؛ لأنها ناشئة عن سعة المكثف، ويرمز لها بالرمز XC وتقاس بالأوم. عند توصيل مكثف سعته C، بمصدر تيار متردد، وعند إغلاق الدائرة، يلاحظ أنه عندما يكون فرق الجهد بين لوحي المكثف = صفراً، يمر تيار من المصدر في الدائرة، تكون شدته نهاية عظمى؛ يعمل هذا التيار على شحن لوحي المكثف، بشحنتين مختلفتين، فيزداد فرق الجهد تدريجياً بين لوحي المكثف، ليصل فرق الجهد بين اللوحين إلى نهاية عظمى، فيقاوم التيار الأصلي، ويعمل على إيقافه، أي أن شدة التيار في هذه اللحظة تساوي صفراً.

(أنظر شكل شدة التيار وفرق الجهد)، يوضح أنه عندما تكون شدة التيار I نهاية عظمى، يكون فرق الجهد V مساوياً صفراً، وعندما تصبح شدة التيار صفراً، يصبح فرق الجهد نهاية عظمي؛ معنى ذلك أن شدة التيار، تتقدم على فرق الجهد، بزاوية قدرها 90 درجة[8]، أي أنهما ليسا متفقين في الطور، بل يختلفان في الطور بزاوية قدرها 90 درجة.

في هذه الحالة، يقال: إنه إذا وضع مكثف في دائرة تيار متردد، فإنه يسبب تقدم شدة التيار على فرق الجهد بزاوية قدرها 90 درجة.

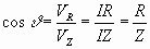
التيار المتردد، وفرق الجهد المتردد، في ملف ومكثف ومقاومة، (أُنظر شكل التيار والجهد في مقاومة) عند إغلاق الدائرة، ومرور التيار الكهربي تتولد على المقاومة والملف والمكثف فروق الجهد التالية VR، VL ، VC على الترتيب و يكون VL متأخراً عن VR بزاوية 90 درجة ، وVC متقدما على VR بزاوية 90 درجة؛ يمكن حساب فرق الجهد الكلي الواقع على المعاوقة[9]، باستخدام قواعد المتجهات الرياضية Vectors Algebra، (أُنظر شكل قواعد جبر المتجهات)، ومراعاة أن VL يتأخر عنVR ، وVC يتقدم عن VR و تكون:

حيث إن:

VR = IR

VL = IXL

VC = IXC

VZ = IZ

حيث إن

تتوقف قيمة المعاوقة Z على العوامل الآتية:

أ. تردد التيار ƒ.

ب. المقاومة R .

ج. المفاعلة الحثية XL.

د. المفاعلة السعوية XC.

بدراسة المعادلة الرياضية للمعاوقة Z، يمكن استنتاج العلاقة بين Z والتردد ƒ ، (أُنظر شكل استنتاج علاقة الممانعة والتردد)، ويتضح الآتي:

أ. في الترددات المنخفضة تكونXC أكبر منXL.

ب. تزداد XL وتقلXC بزيادة التردد.

ج. المقاومة R تظل ثابتة لا تتغير بتغير التردد.

د. عندما تصبح XC = XL تصبح المعاوقة أقل ما يمكن، وتصبح شدة التيار أكبر ما يمكن.

5. القدرة المستنفذة في دوائر التيار المتردد

أ. القدرة المستنفذة في المقاومة الأومية = I2 R.

ب. القدرة المستنفذة في ملف حث عديم المقاومة = صفر.

ج. القدرة المستنفذة في مكثف = صفر.

د. يعرف معامل القدرة Ө cos ¸ و هو:

وتسعى شركات إنتاج الكهرباء في جعل هذا المعامل أقرب ما يكون إلى الواحد الصحيح في خطوط توزيع القدرة الكهربية.

6. دائرة الرنين Resonnance circuit

في الدوائر الكهربية، التي تحتوي على مقاومة أومية ومكثف وملف متصلة على التوالي تكون المعاوقة Z:

ونظراً لأن ملف الحث يعمل، على تأخر التيار عن فرق الجهد، بينما يعمل المكثف، على تقدم التيار عن فرق الجهد، فإنه يمكن التحكم في قيمة مفاعلة كل منهما بحيث يلاشي تأثير إحداهما تأثير الأخرى، وعندئذ تكون المفاعلة الحثية = المفاعلة السعوية، أي أن:

XL = XC

وفي هذه الحالة تكون معاوقة الدائرة أصغر ما يمكن وتكون

Z =R

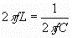
وتصبح شدة التيار في الدائرة، أكبر ما يمكن، كما أن التيار يكون متفقاً في الطور مع فرق الجهد، وتسمى الدائرة في هذه الحالة "دائرة رنين"؛ ولتعيين التردد الذي تصبح عنده دائرة التيار المتردد في حالة رنين، نستنتج قيمة التردد f من المعادلات الآتية:

XL = XC

وهذا يعني أنه بتغير قيمة L أوC ، تتغير قيمة التردد، الذي تكون عنده الدائرة في حالة رنين. ولاختيار الترددات المناسبة تستخدم دوائر رنين ذات تردد رنين متغير، تكون الممانعة عندها أصغر ما يمكن، ورفض الترددات الأخرى، التي تكون الممانعة عندها كبيرة نسبياً، (أُنظر شكل ممانعة دائرة الرنين)، يبين منحنى تغير ممانعة دائرة الرنين مع تغير التردد؛ وإنه كلما كان الجزء المنحصر بين فرعي المنحنى ضيقاً، كانت قدرة دائرة الرنين على انتخاب التردد أفضل، ويطلق على هذه الخاصية الاختيارية selectivity ، ويطلق على دوائر الرنين في هذه الحالة دائرة التوليف.

رابعاً: انتشار الموجات اللاسلكية Radio wave propagation

1. معادلة انتشار الموجات اللاسلكية Radio wave propagation equation

تهتم المعادلة الخاصة بانتشار الموجات، بالتنبؤ بحساب قيم الطاقة الكهرومغناطيسية، التي تصل إلى نقطة الاستقبال، إذا ما علمنا القدرة المشعة، ومركز انطلاق الإشعاع، والمسافة بين المرسل والمستقبل. لدراسة المعادلة نفترض أن انتشار الموجات يتم في وسط مثالي، تكون فيه التوصيلية = صفراً، والسماحية المغناطيسية = 1، وثابت العزل النسبي =1، كما نفترض، أيضاً، أن جهاز الإرسال يشع في جميع الاتجاهات قدرة منتظمة ومتساوية Isotropic radiator؛ فإذا كانت القدرة المشعة هي PT والمسافة بين نقطة الإشعاع ونقطة استقبال الموجاتr فإن:

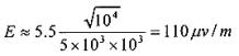
حيث E هي شدة المجال الكهرومغناطيسى الفعال، معبراً عنها بالفولت لكل متر، و PT هي قدرة الإشعاع معبراً عنها بالوات، و r المسافة معبراً عنها بالمتر؛ الاستقبال يتم عادة عبر مسافات كبيرة جداً تؤدي إلى اضمحلال قيمة الموجة المرسلة إلى حد كبير، ولذلك يعبر عن E بالميكروفولت لكل متر¼V/m؛ على سبيل المثال ، لو أن مرسلاً يشع قدرة 10 كيلوات بطريقة منتظمة في كل الاتجاهات، فإن القدرة المستقبلة في نقطة تبعد عنه 5000 كيلوم هي:

يطلق عادة على المعادلة السابقة، معادلة الانتشار المثالي للموجات اللاسلكية، وهي صالحة للتطبيق فقط عند حساب الانتشار خلال وسط مثالي فقط.

في الوسط المثالي يشع المرسل، موجات كروية الشكل في جميع الاتجاهات المحيطة به، ويمكن تمثيل هذه الموجات بأسطح كروية؛ كل سطح يمثل المحل الهندسي لشدة مجال ثابتة لكل سطح عند لحظة زمنية محددة، ولهذه الأسطح الكروية مركز مشترك، هو موقع جهاز الإرسال؛ هذه الأسطح الكروية يطلق عليها اسم "جبهة الموجة" Wave front ، (أُنظر شكل الموجات الكروية).

تختلف الهوائيات الحقيقية، عن الهوائيات المثالية، في كونها تشع في بطاقة إشعاعية أكبر في اتجاه معين عن الاتجاهات الأخرى، ويطلق على هذه الصفة، "الخاصية الاتجاهية للهوائي"، ويرمز لها بالرمز D؛ كما أن اتجاهية الهوائي D تعبر عن النسبة بين القدرة المشعة في اتجاه أقصى إشعاع والقيمة المتوسطة للإشعاع في باقي الاتجاهات، وإذا أخذ في الاعتبار تأثير اتجاهية الهوائي D في قيمة الموجة المستقبلة كانت النتيجة على المعادلة التالية:

وللتعبير عن القيمة اللحظية لشدة المجال الكهرومغناطيسى المستقبل،تحسب قيمة شدة المجال، وتعدل بضربها في المعامل:

وتكون القيمة اللحظية لشدة المجال الكهرومغناطيسي عند نقطة الاستقبال:

حيث تعبر عن التردد الزاوي للتيار المار في المشع، و تحقق العلاقة الآتية:

وv تعبر عن سرعة انتشار الموجات الكهرومغناطيسية (سرعة انتشار الموجات الكهرومغناطيسية تساوي3 × (10)8 م لكل ثانية).

المعادلات السابقة، لا تعتمد بصورة مباشرة على طول الموجة الكهرومغناطيسية، حيث يوجد تأثير ضمني للطول الموجي في قيمة القدرة المشعة PT ، وكما أوضحنا سابقاً أن هذا يُعد مقبولاً في الوسط المثالي فقط، ولكن في حالة الانتشار حول سطح الأرض، في ظروف طبيعية، فإن الموجات الكهرومغناطيسية تنتشر خلا ل طبقات الجو المحيطة بالكرة الأرضية، الذي تختلف خواصه كثيراً عن الوسط المثالي، كما أن الموجات تنتشر فوق سطح الأرض المحدب وغير المنتظم، وهو ليس موصلاً مثالياً ولا عازلاً مثالياً؛ تلك الظروف تجعل القوانين التي تحكم انتشار الموجات شديدة التعقيد، وشديدة التأثر بالطول الموجي، ونظراً لذلك فقد قسم مجتمع الاتصالات والأنشطة اللاسلكية الطيف الترددي إلى حيزات مختلفة، كل حيز له خواص انتشار متقاربة، (أُنظر جدول تقسيم حيز طيف الموجات اللاسلكية) يوضح أحد هذه التقسيمات.

2. سطح الأرض وطبقات الجو المحيطة

الأرض تقريبا كروية، نصف قطرها 6400 كم، ومحيط أكبر دائرة لها حوالي 40000 كم. (أُنظر شكل تأثير انحناء سطح الأرض)، يزيد الارتفاع h بين نقطتين، المسافة بينهما حوالي 250 كم، على 1كم ، وهذا الارتفاع يمثل عائقاً كبيراً يمنع انتشار الموجات بين النقطتين AوB ، ومع ذلك يمكن تحقيق الاتصال بين نقاط بينها حاجب، ناتج من انحناء سطح الأرض، أو عدم انتظام سطح الأرض، إذا ما توافر أحد الشروط الآتية:

أ. الموجات تتحرك في مسارات تتبع انحناء سطح الأرض وتعرجاتها.

ب. تعليق كل من هوائي الإرسال، وهوائي الاستقبال، على ارتفاعات مناسبة يوفر خط الرؤية المباشرة بين الهوائيين.

ج. توفير محطات إعادة إذاعة وسيطة، بين محطة الإرسال ومحطة الاستقبال.

تمثل تعرجات سطح الأرض، التي يقارن ارتفاعها بالطول الموجي للموجة المنتشرة،عائقاً بالنسبة للموجات التي تتحرك بالقرب من سطح الأرض، والتي يطلق عليها اسم "الموجات الأرضية" ground waves أما بالنسبة للموجات الطويلة، فتعتبر جميع التعرجات، فيما عدا الجبال، كأنها غير موجودة، ولا تمثل أي عائق أمام انتشار هذه الموجات، ولكن بالنسبة للموجات السنتيمترية، والديسيمترية، تمثل الأعشاب القصيرة، أو موجات البحر، عائقاً أمام انتشارها.

الطبقة الجوية الأرضية، تتكون من غازات أهمها غاز النيتروجين 78% وغاز الأكسجين 2%، وترتفع تلك الطبقة من سطح الأرض، وحتى20.000 كم؛ ويطلق على الطبقة السفلى من الغلاف الجوي اسم "التروبوسفير" Troposphere، وتتميز طبقة التربوسفير بثلاث خواص رئيسة مؤثرة على انتشار الموجات:

أ. كلما ارتفعنا عن سطح الأرض قلت درجة الحرارة، حتى تصل إلى -70 درجة مئوية عند ارتفاع 11كم.

ب. كلما ارتفعنا عن سطح الأرض قلت كثافة الغلاف الجوي والغازات المكونة له.

ج. درجة الرطوبة تقل كذلك مع الارتفاع عن سطح الأرض.

عند الارتفاعات التي تزيد على 60 كم، تبدأ جزيئات النتروجين والأكسجين في التأين، نتيجة الأشعة السينية والأشعة الكونية المختلفة، وهذا التأين شديد التأثير على انتشار الموجات الكهرومغناطيسية، حيث يسبب المجال الكهربي المتردد، تحرك الإلكترونات، وبالتالي تتفاعل مع المجال الكهرومغناطيس للموجة اللاسلكية؛ وتصل الطبقة المتأينة تلك حتى ارتفاع من 300 إلى 400 كم، ولذلك يطلق على الطبقة من 60 إلى 400 كم، اسم "طبقة الأيونوسفبر السفلي"، lower ionosphere، وتنقسم طبقة الأيونوسفير، إلى طبقات فرعية يختلف سمكها ودرجة تأينها باختلاف الوقت ليلاً ونهاراً، وباختلاف الفصول صيفاً وشتاء، وباختلاف الظواهر الشمسية المختلفة؛ وأهم الطبقات الفرعية المكونة لطبقة الأيونوسفير، (أُنظر شكل طبقات الأيونوسفير)، هي:

أ. الطبقة D تظهر نهاراً، وتنخفض ليلاً، وهي من 60 إلي 90 كم، من سطح الأرض.

ب. الطبقة E تظهر نهاراً وليلاً، وهي من 100 إلى140 كم من سطح الأرض.

ج. الطبقة F1 تظهر ليلاً، وهي من 180 إلى 240 من سطح الأرض.

د. الطبقة F2 تظهر نهاراً وليلاً، وهي من 230 إلى 400 كم من سطح الأرض.

3. انتشار الموجات الطويلة Long - wave propagation

الموجات الطويلة التي يزيد طولها علي 1000م، وترددها أ قل من 300 كيلوهرتز، تظهر أعلى مقدرة على تتبع انحناءات سطح الأرض وتعاريجه، ويمكن بواسطتها تحقيق اتصال على مسافات تصل حتى 20 ألف كم، ويمكن تفسير ذلك بأن طبقة الأيونوسفير D، تمتلك، نهاراً وليلاً، كثافة التأين المناسبة، لعكس هذه الموجات، كما أن مياه البحار، والمحيطات، والتربة الرطبة، تمثل بالنسبة لهذه الموجات أوساطاً جيدة التوصيل، وبذلك تقطع الموجات الطويلة مسارها عن طريقين، إما متتبعة انحناءات سطح الأرض، أو من خلال انعكاسات متعددة بين طبقات الأيونوسفير السفلي وسطح الأرض، وجدير بالذكر أن تلك الموجات تنعكس من طبقات الأيونوسفير، ومن سطح الأرض، أياً كانت زاوية سقوطها، حتى السقوط العمودي.

من الأمور التي تشجع على استخدام الموجات الطويلة، تكرار الظواهر المتعلقة بطبيعة طبقات الأيونوسفير، بصورة ثابتة، في دورة زمنية طبيعية مدتها 11عاماً، أي أن طبيعة الأيونوسفير، في يوم ما، تتكرر بالصورة نفسها تماماً بعد 11عاماً، وهذا أدى إلى إعداد جداول ثابتة لدورة زمنية مدتها 11عاماً، لجميع الظواهر الجوية والمناخية المؤثرة على طبقات الأيونوسفير.

من معوقات اتصالات الموجات الطويلة، التوهين العالي لهذه الترددات أثناء انتشارها، ولذلك يجب أن تكون قدرة الإرسال مرتفعة جداً، آلاف الكيلوات، لتحقيق مسافات اتصال كبيرة، إضافة إلى تأثر جودة الاستقبال لهذه الموجات نتيجة للتداخل من الظواهر الجوية المختلفة، التي يطلق عليها ضوضاء الموجات الطويلة، long wave noise ؛ كما أنه نتيجة انخفاض التردد يكون عرض النطاق الترددي ضيق جداً، لا يسمح بتحميل قدر مناسب من المعلومات على الموجات الحاملة.

4. انتشار الموجات المتوسطة Medium wave propagation

استخدمت الموجات المتوسطة، من 100 إلى 1000 متر، لسنوات عديدة في محطات الإذاعة المختلفة، وفي الاتصالات اللاسلكية بين السفن التجارية، في العديد من الدول، ومن أهم خواصها، أن الكثافة الإلكترونية في طبقة الأيونوسفير D لا تناسب انعكاس هذه الأطوال الموجية، وأحياناً تكون كثافة الطبقة E قادرة على عكسها، في أوقات الليل فقط، مهما كانت قيمة زاوية السقوط المائلة.

تعمل طبقة الأيونوسفير D تعمل على إضعاف الموجات المتوسطة، وحيث إن تلك الموجات، أثناء انعكاسها من الطبقة E تمر مرتين صعوداً أو هبوطاً بالطبقة D، فتعاني توهيناً شديداً، وعندما تختفي الطبقة D ليلاً، يختفي معها هذا التأثير غير المرغوب فيه، وبصفة عامة يمكن القول إن الاتصالات، باستخدام الموجات المتوسطة، تتم ليلاً بواسطة الموجات الأرضية والموجات السماوية، وتتم نهاراً بواسطة الموجات الأرضية فقط.

تحدث ظاهرة الاضمحلال Fading في اتصالات الموجات المتوسطة، نظراً لأن كلاً من الموجة الأرضية والموجة السماوية تجتمعان عند نقطة الاستقبال، ونظراً لاختلاف طول كل من المسار الأرضي، والمسار السماوي، نلاحظ أنه، عند وصول الموجتين متحدتين في زاوية الطور، فإن شدة الإشارة تزداد، وعند وصولهما متضادتين في زاوية الطور، فإن الشدة تقل، وقد تصل إلى الصفر أحياناً؛ هذا يؤدي إلى الظاهرة التي يلاحظ فيها ارتفاع صوت الاستقبال، ثم انخفاضه تدريجياً حتى يختفي تماماً، ثم يتدرج مرة أخرى زيادة ونقصاناً.




[1] أطلقت هذه التسمية تخليداً للعالم الاسكتلندي جيمس ماكسويل James Maxwell 1831-1879 الذي أسهم إسهاماً كبيراً في علوم الكهروبصريات وعلوم اللاسلكي.

[2] تخليداً للعالم الرياضي الألماني كارل جاوس Karl gauss 1777-1855.

[3] العجلة التسارعية، هي المعدل الزمني الموجب لتغير السرعة acceleration ، وسيستخدم لفظ عجلة التسارع فيما بعد، والعجلة التباطئية، هي المعدل الزمني السالب لتغير السرعة deceleration ، وسيكتفي باستخدام لفظ العجلة التباطئية.

[4] يتناسب تردد الموجة ؟ تناسباً عكسياً مع طولها ؟ وثابت التناسب هو سرعة انتشار الضوء c.

[5] الأنجستروم = 10 -10 متر.

[6] حاصل ضرب السرعة الزاوية ؟ و الزمن t يساوي زاوية دوران الملف.

[7] يطلق علي فارق زاوية الطور في هذه الحالة `زاوية السبق أو التقدم` Lead  angle.

[8] يطلق على فارق زاوية الطور في هذه الحالة ` زاوية التأخر` Lag angle .

[9] قد تحتوي الدائرة على مفاعلة حثية، ومفاعلة سعوية، ومقاومة أومية؛ يطلق على أي من هذه المكونات، إذا اجتمعت في دائرة كهربية معاً،  اسم `المعاوقة للتيار المتردد`، ويرمز لها بالرمز Z.