إرشادات مقترحات البحث معلومات خط الزمن الفهارس الخرائط الصور الوثائق الأقسام

مقاتل من الصحراء
Home Page / الأقســام / موضوعات علمية / الكهرباء، واللاسلكي، والإلكترونيات




منظر من الجو لطبق أريسيبو
أجهزة الرؤية والتنشين الحراري
مستشعر أرضي قصير المدى
مستشعر بعيد المدى
مستقبل لنظام تحديد المواقع
استخدام الحاسب للتوقيع
جهاز تقدير المسافة اليدوي
دبابة بالأشعة
صورة حاسب ميداني
طائرة موجهة من دون طيار
صاروخ موجهة بالأشعة دون الحمراء

. التيار والجهد في ملف حث
إمالة الهوائي لخفض الصاري
ممانعة دائرة الرنين
نهاية قمعية هرمية
هوائي متحد زاوية الطور
هوائي مركب
هوائي مزود بعاكس
هوائي الإشعال العلوي
هوائي ثنائي القطبية
هوائي حرف L
هوائي حرف T
هوائي شكل حرف V
موجة التعديل
منحنى التيار للوصلة الثنائية
منحنى التكبير
منطقة الصمت
ملف الإطالة
مثال لدائرة تعديل سعوي
نبضات دائرة المفاضل
مجالات الموجات الكهرومغنطيسية
مجزئ الجهد
إطالة الهوائي بإضافة أفرع
إطالة الهوائي بإضافة فرع
إطالة الهوائي بإضافة فرعين
مسار الموجات السماوية
أساس الإرسال والاستقبال اللاسلكي
مستنزف التيار
مذبذب مكبر ذو تغذية
مقوم موجة ذو مكثف
مقوم الموجة الكاملة
مقاومة التوازي لقياس التيار
النموذج الإشعاعي لهوائي
الهوائي متخالف زاوية الطور
الهوائي المائل
الهوائي ثنائي القطبية المزدوج
الهوائي ذو الشكل المعين
الموجات الكروية
الموجة التوافقية
الموجة الحاملة بعد التعديل
الموجة الحاملة قبل التعديل
الموجة العالية ترددياً
المنحنى الترددي للمكبر
الوصلة الثنائية
المذبذب أحادي الاستقرار
المذبذب ثنائي الاستقرار
المذبذب عديم الاستقرار
المقاومة لقياس التيار
المقياس ذو الملف المتحرك
التمثيل البياني للجهد
التوصيل الأمامي
التوصيل الأمامي للوصلة الثنائية
التوصيل المختلط
التوصيل الخلفي للوصلة الثانية
التوصيل على التوالي
التوصيل على التوازي
التيار والجهد في مكثف
التيار والجهد في مقاومة
التيار وفرق الجهد
التيار المتردد لدورة كاملة
التيار المرشح
التيار الكهربي المستحث
التيار بعد التقويم
الترددات الجانبية
التعديل النبضي
التعديل النبضي الموضعي
التغذية الرجعية
الجهد الحاجز
الجهد الحاجز في التوصيل الخلفي
الحيزات الجانبية
الرابطة التساهمية لذرة الجرمانيوم
الرسم الطوري
السلك المحوري
السلك المجدول
السلك المفرد
العمود الجاف
العلاقة بين الجهد والمحور
الفيض المغناطيسي لملف لولبي
الفيض المغناطيسي لحلقة
الفيض المغناطيسي لسلك
استنتاج علاقة الممانعة والتردد
بلورة القاعدة
تأثير الانعكاس على الهوائي
تأثير انحناء سطح الأرض
تأثير سطح الأرض
تأثر الاتصال بارتفاع الهوائيات
توصيل أربعة مصابيح
توصيل مصباح بسلك
تنفيذ الدائرة المتكاملة بالترانزيستور
تجميع الشعاع الإلكتروني
تجربة نقطة الزيت لميلكان
تجربة قياس الشحنة النوعية
تدريج مقياس المقاومة
ترسيب ترانزيستور
تطبيق نورتون الخطوة الثانية
تطبيق ميلمان الخطوة الأولى
تطبيق ميلمان الخطوة الثانية
تطبيق سفنن المرحلة الأخيرة
تطبيق سفنن الخطوة الأولى
تطبيق سفنن الخطوة الثانية
تغذية الترانزيستور N P N
جهد المسح
جهد المصدر والجهد المستحث
خلية فولتايك
دائرة لتقويم التيار المتردد
دائرة مذبذب
دائرة مذبذب عديم الاستقرار
دائرة المكامل
دائرة القطع
دائرة توضح قانون أوم
دائرة تحليل الدوائر الكهربية
دائرة تكبير باستخدام ترانزيستور
خرج مقوم الموجة الكاملة
حركة الإلكترون
خطوط الفيض المغناطيسي
خطوط عمل المجال المغناطيسي
رمز الوصلة الثنائية
رمز الترانزيستور N P N
رمز الترانزيستور P N P
رسم موجه جيبية
صمام أشعة المهبط
صورة الكهربية لسلك أفقي
صورة الكهربية لسلك رأسي
شبه موصل موجب
شبه موصل سالب
طبقات الأيونوسفير
زيادة مسافة الاتصال
شدة التيار وفرق الجهد
طريقة تنفيذ دائرة متكاملة
كود ترقيم المقاومات
كسر الرابطة التساهمية
علاقة قانون أوم
عمق التعديل السعوي
ظاهرة الاضمحلال
عاكس قطع مكافئ
فارق زاوية الطور
ذرة النحاس
ذرة الهيدروجين
ذرة الكربون
قواعد جبر المتجهات
قانون نورتون الخطوة الأولى
قياس مستويات التيار
قياس مستويات جهد مختلفة
قياس المقاومة
قياس فرق الجهد
قطار النبضات




مقدمة

ثالثا: توصيل الدوائر الكهربية

1. توصيل الدوائر الكهربية على التوالي Series Connection

يقصد بالتوصيل على التوالي أن تتصل مكونات الدائرة الكهربية المغلقة بصورة متتالية، بحيث يكون طرف كل مكون من مكونات الدائرة، متصلا بطرف واحد من المكون الذي يليه؛ وهو يتيح مساراً واحداً فقط، للإلكترونات في هذه الدائرة.

التيار الكهربي هو حركة الإلكترونات، الناتجة عن فرق الجهد الكهربي المطبق بين نقطتين، (أُنظر شكل التوصيل على التوالي)، توفر البطارية الجهد الكهربي V، الذي يدفع الإلكترونات إلى الانتقال من الطرف السالب A للبطارية، خلال السلك الموصل، حتى النقطة B، ثم خلال المقاومة R1، إلى النقطة C، ثم خلال المقاومةR2  ، إلى الطرف D، ثم من خلال سلك التوصيل، إلى طرف البطارية الموجب E؛ أي أن الإلكترونات ذات الشحنات السالبة تنتقل خلال المقومات R1، R2 مبتعدة عن الطرف السالب للبطارية، وفي اتجاه الطرف الموجب لها، وتكون سرعة انتقال الإلكترونات خلال مكونات الدائرة ثابتة؛ هذا يعني أن شدة التيار الكهربي I، المار في الدائرة ثابتـة، لا تتغير.

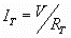
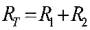
وطريقة حساب المقاومة الكلية للدائرة الموصلة على التوالي، حيث تتحرك الإلكترونات مبتعدة عن الطرف السالب للبطارية A، ويلزم أن تتغلب على المقاومات الموجودة بالدائرة، حتى تتمكن من الوصول إلى الطرف الموجب E للبطارية؛ وبعبارة أخرى يلزم أن تتغلب على المقاومة الكلية RT، للدائرة حيث

وبصفة عامة، فإن المقاومة الكلية للدائرة، تساوي مجموع كل المقاومات المكونة لهذه الدائرة هي

وهذه الصورة صحيحة، لأي عدد من المقاومات المتصلة على التوالي؛ من قانون أوم:

حيث إن VT، هو فرق الجهد الكلى، المطبق على طرفي دائرة التوالي، وI شدة التيار المار في الدائرة، وRT المقاومة الكلية للدائرة.

التيارI يمر في المقاومة R1، وهذا يعنى وجود فرق جهد كهربي بين طرفيها، من النقطتين B وC، وبتطبيق قانون أم، يكون فرق الجهد الكهربي بين النقطتين B وC هو:

وعلى المنوال نفسه، يكون فرق الجهد الكهربي بين النقطتين C وD هو:

وبجمع العلاقتين السابقتين يتضح أن:

أي أن الجهد الكلي، المطبق على الدائرة الموصلة على التوالي، يساوي مجموع فروق الجهد الجزئية، الواقعة على المقاومات المكونة لهذه الدائرة، وبصورة عامة، يمكن القول إن فرق الجهد الكلي، الموصل بين أطراف دائرة موصلة على التوالي، يتوزع على المقاومات المكونة لها، بحيث يكون فرق الجهد بين طرفي كل مقاومة، متناسباً طرد ياً مع قيمة هذه المقاومة، ويساوي شدة التيار المار في الدائرة مضروباً في قيمة المقاومة، وهذا يعني أنه كلما زادت قيمة المقاومة، ازدادت قيمة فرق الجهد الكهربي الواقع على طرفيها، مع ملاحظة أن شدة التيار ثابتة في الدوائر الموصلة على التوالي.

القدرة الكهربية، هي التعبير عن الطاقة المخزونة في البطارية، التي يمكن أن تبذل الشغل اللازم، لدفع الإلكترونات، عبر طرفي الدائرة الكهربية، متغلبة على المقاومات التي تواجهها، ويرمز لها بالرمز P، ويعبر عنها بحاصل ضرب فرق الجهد الكهربي، وشدة التيار المار بالدائرة:

هذه القدرة الكهربية، تستهلك في تنفيذ الغرض، من أجله صممت الدائرة الكهربية، مثل الإضاءة، أو التدفئة، أو إدارة محرك، وفي حالة الدائرة الموضحة بشكل التوصيل على التوالي، فإن الطاقة P ، تتبدد في المقاوماتR1 ،R2 في صورة حرارة، وتكون الطاقة الكلية المستهلكة في الدائرة الكهربية، مساوية لمجموع الطاقات، التي يستهلكها كل مكون من مكونات الدائرة:

حيث إن PT هي الطاقة الكلية، المستهلكة في الدائرة الكهربية، وP1 الطاقة المستهلكة في المقاومة R1، وP2 الطاقة المستهلكة في المقاومة R2.

2. توصيل الدوائر الكهربية على التوازي

يقصد بالتوصيل على التوازي أن يتصل مكون أو أكثر، من مكونات دائرة كهربية، بين طرفي مصدر الجهد الكهربي، وهذا يعني أن فرق الجهد الكهربي، المطبق على أطراف المكونات المتصلة على التوازي ثابت؛ أي أن جميع المكونات المتصلة على التوازي، تشترك في فرق جهد كهربي واحد، وهذا الجهد يسبب تياراً كهربياً في كل مكون، يختلف طبقاً لمقاومة هذا المكون؛ ، يلاحظ أن المقاومتينR1 ، R2 متصلتان بين طرفي البطاريةA ، B وهذا يعني، أن فرق الجهد الكهربي، المطبق على طرفي R1، هو جهد البطاريةV ، وكذلك فرق الجهد المطبق على طرفي R2 هو نفسه V؛ هذا الأسلوب للتوصيل، هو الأسلوب المستخدم لتوصيل الكهرباء المنزلية، حيث تحتاج كل الأجهزة الكهربية المنزلية لجهد كهربي واحد ومحدد، 220 فولت، مثلاً، لكي تعمل بصورة سليمة.

بتطبيق قانون أوم، على كل مكون من مكونات الدائرة الكهربية، الموصلة على التوازي، يلاحظ أن شدة التيار المار في كل مقاومة، يتناسب مع قيمة هذه المقاومة، أي أن شدة التيار I 1 المار في المقاومةR1 يكون:

وشدة التيار المار في المقاومة R2 تكون

ومجموع التيارينI1 ،I2  هو التيار الكلي، الذي يمر في الدائرة الكهربية، وإذا درست الدائرة الموضحة (أُنظر شكل التوصيل على التوازي)، بصفة عامة فإن التيار الكلي، الذي تدفعه البطارية في الدائرة يكون:

حيث IT يرمز إلى التيار الكلي المار في الدائرة، وRT إلى المقاومة الكلية للدائرة، وV إلى فرق الجهد بين طرفي الدائرة؛ أي أن:

وهذا يعني، أن المقاومة الكلية للدائرة الكهربيةRT  ، تكافئ مقاومة أخرى قيمتها هي:

أي أن القيمة المكافئة للمقاومتينR1 ،R2  المتصلتين على التوازي، هي:

وبصورة عامة، فإن المقاومة الكلية لأي عدد من المقاومات المتصلة على التوازي، هي:

وهذه العلاقة صحيحة، لأي عدد من المقاومات المتصلة على التوازي، ويمكن التعبير عن الدوائر، المتصلة على التوازي بصورة أبسط، إذا استخدم تعريف التوصيلية الكهربية G حيث إن:

وفي هذه الحالة، تكون التوصيلية الكهربية الكلية للدائرة الكهربية، المتصلة علي التوازي هي:

القدرة الكهربية الكلية، المستهلكة في الدائرة المتصلة على التوازي، تساوي القدرة الكهربية المستهلكة، في كل مكون من مكونات الدائرة على حدة، أي أن:

PT = P1 + P2 + …

وهذه العلاقة، هي نفسها العلاقة، التي تنطبق على حالة الدوائر الكهربية الموصلة على التوالي، والتطابق ناتج، من أن مصدر الطاقة، هو المسؤول عن بذل الشغل، لدفع التيار الكهربي في جميع مكونات الدائرة؛ يستخلص من ذلك أن طريقة التوصيل الكهربي للدائرة، تؤثر في توزيع الجهد أو التيار الكهربي بين مكونات الدائرة، ولكن تبقى القدرة الكهربية المستهلكة في مكونات الدائرة ثابتة في جميع الأحوال، ولا ترتبط بأسلوب التوصيل.

3. التوصيل المختلط، التوالي والتوازي معاً في دائرة كهربية واحدة

يلاحظ في العديد من الدوائر الكهربية، أن بعض المكونات متصلة على التوالي، حتى يمر بها التيار الكهربي نفسه، وبعض المكونات الأخرى متصلة على التوازي، حتى يقع على أطرافها فرق الجهد الكهربي نفسه، (أُنظر شكل التوصيل المختلط)؛ وهذا الأسلوب من التوصيل للدوائر الكهربية، يلجأ إليه عندما يكون من الضروري، توفير قيم مختلفة من التيار الكهربي، ومن الجهد الكهربي من مصدر تغذية كهربية واحد، مثل حالة أربعة مصابيح كهربية، كل منها يحتاج لفرق جهد 120 فولت، ليعطي إضاءة بقدرة 100 وات، مطلوب توصيلها جميعاً، مع استخدام المصدر الكهربي المتاح، وهو مصدر يحقق فرق جهد مقداره 240 فولت، فإذا تم توصيل المصابيح الأربعة على التوالي مع المصدر انطبق على كل منها 60 فولت فقط، وهذا الجهد لا يكفي، بطبيعة الحال، للحصول على الإضاءة المناسبة من المصابيح، وإذا تم توصيل المصابيح الأربعة على التوازي، مع المصدر، انطبق على كل مصباح فرق جهد 240 فولت، الأمر الذي يؤدي إلى تلف المصابيح كلها؛ ولحل هذه المشكلة يلزم توصيل كل مصباحين معاً، على التوالي في فرع واحد، ثم توصيل الفرعين معاً على التوازي، فيقع على كل فرع فرق جهد240 فولت، ويقع على كل مصباح 120 فولت، وهو الجهد المناسب لتحقيق الإضاءة المناسبة، (أُنظر شكل توصيل أربعة مصابيح)؛ يستفاد من هذا الأسلوب فيما يطلق عليه مجزئ الجهد، ومستنزف التيار:

أ. مجزئ الجهد:

عند تصميم، الدوائر الكهربية المختلفة وتنفيذها، تظهر أحياناً الحاجة إلي استخدام جهد كهربي، يكافئ جزءاً فقط، من جهد مصدر الجهد الكهربي الكلي، المغذي للدائرة، ولتحقيق هذا المطلب، تستغل خاصية تقسيم الجهد على المقاومات الموصلة على التوالي، ويطلق على التوصيل الكهربي، في هذه الحالة "مجزئ الجهد"، (أُنظر شكل مجزئ الجهد)؛ يحسب الجهد VBC كالآتي:

التيارI المار بالدائرة تحدده المعادلة:

ويكون الجهد الكهربيVBC هو:

أي أنه، يمكن التحكم في قيمة الجهد VBC ، باختيار قيم مناسبة لكل منR1 ،R2 .

ب. مستنزف التيار:

عند تصميم، الدوائر الكهربية المختلفة وتنفيذها، تظهر أحيانا الحاجة إلي التحكم في قيمة التيار، المار بمكون معين، ليكون جزءاً من التيار الكلي، المار بالدائرة، ولتحقيق ذلك، تستخدم خاصية تقسيم التيار الكهربي، بين المكونات الموصلة على التوازي، ويطلق على التوصيل الكهربي، في هذه الحالة، "مستنزف التيار"، (أُنظر شكل مستنزف التيار).

أي أن التيار I1 المار في المقاومةR1 هو جزء من التيار الكليI ، ويمكن التحكم في قيمته، بالاختيار المناسب، لقيم كل منR1 ، R2، وبصفة عامة، يمكن استخدام مجزءات الجهد، ومستنزفات التيار معاً، وبأي عدد من المرات، لتوفير الجهد الكهربي، وشدة التيار المناسبة، لكل جزء من أجزاء الدائرة الكهربية، التي تغذى من مصدر كهربي واحد، مثل جهاز التليفزيون المغذى من مصدر كهربي واحد، ولكن تحتاج مكوناته المختلفة، إلى قيم شديدة التباين من الجهد والتيار.




[1] النظام المغلق، هو تصور نظري لأي جسم، أو مجموعة من الأجسام، منعزلة تماماً عن باقي الكون، ولا يوجد بينه، وبين أي جسم أو نظام آخر في الكون، أي نوع من الاتصال، أو التفاعل.

[2] شحنة الإلكترون تساوي = 1.602  10 -19 كولوم.

[3] الشحنات الكهربية: إما أن تكون ذات قطبية موجبة، أو ذات قطبية سالبة، ويرمز لها بالرمز Q+ أو Q- وتعد الشحنة التي تساوي صفراً شحنة متعادلة.

[4] الميكرو أمبير وحدة قياس لشدة التيار الكهربي تساوي 10-6 أمبير.

[5] المللي أمبير وحدة لقياس شدة التيار تساوي 10-3 أمبير.

[6] للمقاومات التي تقل قيمتها عن 10 أوم، يمكن أن تأخذ الشريحة `ج` لونين إضافيين، هما اللون الفضي، وهذا يعني قسمة القيمة الموضحة على 10، واللون الذهبي، وهذا يعني قسمة القيمة على 100.

[7] تيار شدته من 50 إلى 200 أمبير في الساعة، يعد قيمة معتادة للبطاريات الحمضية.